Article Number: 10 | VC6 | VC5 | VC4 | VC3 | Post Date: August 16, 2016 | Last Updated: August 19, 2020
Can I access position and orientation data for vehicle wheels?
To access this feature, go to the report dynamics menu in the left side control panel. Select "wheels."
Let's look at an example:
With "wheels" selected, you will find your vehicles' corresponding wheel position (center of gravity - X,Y,Z” and orientation data below the vehicle data. Note the wheel data is listed as follows: (1) front axle driver side, front axle passenger side, rear axle driver side, rear axle passenger side. If you have more than 2 axles, this same pattern continues.
Using the same techniques describe in this blog post, we can use the wheel data to animate four vehicle wheels separately from the vehicle itself in this drop test example, where the vehicle and wheel data were used as animation paths in FARO HD:
Note the wheel center of gravity - x, y, z position data corresponds to the geometrical center of each wheel. angle - x, y, z data corresponds to the wheel orientation, which have the same definitions as any other objects in Virtual CRASH 3, which are defined here.
METHOD 1 | VC6, VC5, and VC4 USERS | Steering Angle and Rotation Rate
Create a report in the dynamics report menu. Enable the “wheels” option. You will see the “steering” column in the vehicle’s data. This corresponds to the steering input used for the sequence entry (this is not the same as the actual wheel angle at the axle). Underneath the vehicle’s data you will find the data for each wheel. The wheel data goes in order, from left to right, in order of axle. So for a four-wheel vehicle, that is: driver side front, passenger side front, driver side rear, passenger side rear. Each set of wheel data will have a “steering” column. This is the actual angle of the wheel at the axle relative to the vehicle’s local x-axis. If axial steering is used, you will see this angle appear in the “steering axial” column rather than the “steering column”. Finally, the rotation rate is given in “omega” column.
METHOD 2 | VC3 USERS | Steering Angle and Rotation Rate
VC3 users will need to perform some calculations to obtain steering angles and rotation rates. Let’s examine this more closely in order to better understand how a tire rotation rate might be estimated from the data. In the simulation shown below, we start our Cadillac Escalade with an initial speed of 20 mph. After 1 second the Cadillac begins braking at 12.548 ft/s^2 (50% pedal position). Note, brake lag is set to 0 seconds.
We’ve pasted our driver side front wheel data into Excel for analysis.
Recall from Appendix 3, that rotations are applied in the specific order of yaw, pitch, then roll. As our wheel rotates around its y-axis, the data indicates that the yaw (angle-Z) and roll (angle-X) abruptly mirror reflect as the wheel’s local x-axis rotates around, such that its projection on the x-y plane, points in the reverse direction it initial starts in. As a result, our pitch angle must be corrected depending on which way the wheel’s x-axis projection is facing (forward or backward). Note, our SUV has an initial yaw = 37 degrees. This agrees with the wheel's initial yaw (angle-Z) value. Again, this angle-Z value then flips by 180 degrees as the wheel's x-axis rotates.
In this case, by simply checking if the roll angle of the wheel is either 0 or 180 degrees, we’ll know if the x-axis x-y plane projection is facing forward or backward. If |roll|=180 degrees, then we take: pitch->(180 degrees – pitch) as our correction (Column I). Once we have this, we can then calculate the change-in-pitch angle (Column J). Next, we’ll need to take care of the problem of angular wrap, where angular values can jump around in value due to the limit in range from -360 to 360 degrees. We want to restrict our change-in-pitch to be between 0 to 180 degrees. We do this by first taking the cosine of our change-in-pitch (Column K), and then taking the arccosine to invert the cosine (Column L). The corrected change-in-pitch values are then well behaved and easier to understand. From this, we can calculate the Pitch Rate (Column M and N). The wheel speed can be calculated by taking the product of tire radius and pitch rate (Column 0). Our SUV had tire size 265/65R19, corresponding to a radius of 16.28 inches which was used for our calculation. Finally, in Column P, the estimated wheel speed is given in mph. Note, the estimated wheel speed is 19.998 mph at the start of the simulation, which is in excellent agreement with the value used of 20 mph. Here we see the graph of pitch rate (tire rotation rate, Column M) as a function of time (reported in 10 msec increments). Note the abrupt change in the rotation rate at time = 1 second.
Below is a graph of the resulting wheel rotation estimated speed versus time data created with a report given in 10 msec increments. We see at 1 second, the estimated speed drops by 50%. This is because the rotation rate in Virtual CRASH is simply given by the ratio of the vehicle ground speed (projected along the wheel longitudinal axis) to tire radius multiplied by the factor (100% - Pedal Position) for braking or (100% + Pedal Position) for acceleration. This helps create a more visually appealing animation output. Recall, the longitudinal tire forces in Virtual CRASH are not calculated by using tire rotation rates, but rather are based on user input data in the acceleration field of the sequences menu.
Performing a linear fit to our estimated ground speed versus true ground speed during braking, we indeed see the ratio is 50% as expected.
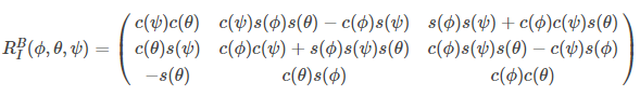
A more complex analysis is required in the case where the vehicle is turning, braking, or accelerating as the wheel axes will change dynamically in complicated ways. The easiest way to account for this is to perform an inverse transformation of each wheel’s x-axis to global space. The inverse transformation matrix is shown below. Here,\( \psi\) is yaw, \(\theta\) is pitch, and \(\phi\) is roll. “c” is the cosine operator and “s” is the sine operator.
The same must then be done for the vehicle’s x-axis, y-axis, and z-axis. Once this is done, using simple vector algebra, the orientation of the wheel’s x-axis vector projected onto the vehicle’s x-y plane can be found, thereby giving the steering angle.
For the wheel’s rotation rate, simply project the wheel’s x-axis vector onto the vehicle’s x-y plane. The wheel’s rotation angle can then be taken as the angle between the wheel’s x-axis vector and this projection. The change-in-angle then gives the rotation rate.
In the case below, the SUV makes an s-shaped turn. At the start of the simulation, the wheels are turned to 30 degree steering angle with steering time set to 0 seconds. 5 seconds later, the steering angle changes to -30 degrees over a 0.5 second interval.
The resulting steer angle versus time is shown below. Note the steering angle transition that is clearly evident starting at 5 seconds. As expected, the outside wheel shows a slightly larger steering angle and the inside wheel shows a slightly smaller angle than the input value used in the simulation, as explained in Chapter 6 of the User's Guide.
Related content:
Blog Post | Drive Your Reality/HD Animations with Virtual CRASH 3 | Part 1
Blog Post | Drive Your Reality/HD Animations with Virtual CRASH 3 | Part 2
User's Guide | The Virtual CRASH Coordinate System (VC5 | VC4 | VC3)
Tags: Wheel data, print data, wheel rotation data, accessing data, data, report, tire rotation rate, wheel ratation rate, wheel angle, tire rotation.
© 2020 Virtual CRASH, LLC. All Rights Reserved